Contoh soal turunan yuv.
Jika kamu mencari artikel contoh soal turunan yuv terbaru, berarti kamu sudah berada di web yang tepat. Yuk langsung aja kita simak ulasan contoh soal turunan yuv berikut ini.
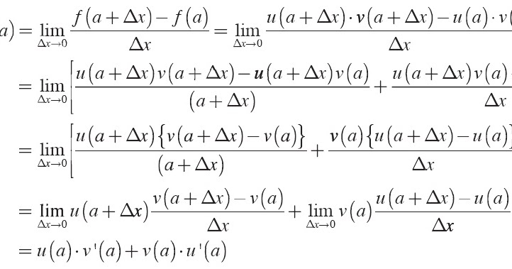
10 Contoh Soal Turunan Uv Kumpulan Contoh Soal From teamhannamy.blogspot.com
No 56 Contoh Soal 1 Carilah f x jika f x 3x 2 7x Penyelesaian. V x Sin2x maka v x 2Cos2x. Y UV VU. Contoh soal 4.
Itulah pembahasan mengenai Macam Macam Rumus Diferensial dan Contoh Soal Turunan Matematikannya yang bisa Penulis sampaikan kepada kalian sebagai para pembaca di Blog Rumus Rumus ini dan sebagai informasi saja bahwa pembahasan tentang Turunan.
Jika w xy yz 2 x e t y. Maka diperoleh U 2 dan V 2x. Jika Guvw u3 2 uvw uw 2 dengan u xy v x y dan w xy Carilah x G dan y G. Tentukanlah turunan fungsi dari fx 2xx4 5. Y 2 x 2 1 2x 2x 1.
Source: teamhannamy.blogspot.com
Itulah pembahasan mengenai Macam Macam Rumus Diferensial dan Contoh Soal Turunan Matematikannya yang bisa Penulis sampaikan kepada kalian sebagai para pembaca di Blog Rumus Rumus ini dan sebagai informasi saja bahwa pembahasan tentang Turunan. Misalkan jika ux 2x dan vx x4 5 maka. Y 6x 2 2x 2. Sin 3x x 2. U x 2 dan v x maka 4x3.
U 3x 2 u 3 2 x 2 1 6x 1 6 x v 7x v 7 1 x 1 1 7x 0 7 1 7 Jadi jika f x u v maka f x u v 6x 7 Contoh Soal 2 Carilah f x jika f x x 3 8x 2 Penyelesaian.
U 2x 3 u 2 v x 2 2 v 2x. Colorredy sinn u to y u. Sin 3x x 2. Jika Guvw u3 2 uvw uw 2 dengan u xy v x y dan w xy Carilah x G dan y G.
Source: slideshare.net
Dan juga harus ingat konsep dasar turunan fungsi yang berbentuk y uv yakni bahwa. Jika w xy yz 2 x e t y. U x 3 u 3x 3 1 3x 2 v 8x 2 v 8 2 x 2. V x Sin2x maka v x 2Cos2x.
Source: slideplayer.info
Turunan dari fx 2x 3x 2 2 yaitu. Turunan trigonometri dengan rumus pengembangan II ini cukup kompleks bentuk rumusnya akan tetapi masih mudah untuk di ingat karena sedikit mirip dengan bentuk rumus-rumus sebelumnya. Soal 10 Turunan pertama dari yfrac3x22x-3 adalah penyelesaian. Contoh Soal dan Pembahasan.
Source: slideplayer.info
Contoh soal 4. Carilah turunan dari y x 2 sin 3x. U x 2 dan v x maka 4x3. Contoh Soal dan Penyelesaian dalam menentukan turunan pertama fungsi dengan menggunakan definisi turunan fungsi.
Contoh Soal dan Pembahasan. Beginalign ux3x2 ux3 vx2x-3 vx2 sehingga yfracuv-vuv2 yfrac32x-3-23x22x-32 yfrac6x-9-6x-42x-32 yfrac-132x-32 endalign Soal 11 Turunan pertama dari fx3x2-74 adalah penyelesaian. Turunan trigonometri dengan rumus pengembangan II ini cukup kompleks bentuk rumusnya akan tetapi masih mudah untuk di ingat karena sedikit mirip dengan bentuk rumus-rumus sebelumnya. Y UV VU.
Contoh soal tersebut merupakan salah satu contoh turunan fungsi yang berbentuk y u v dimisalakan u 4x 3 dan v 6x 2.
V x Sin2x maka v x 2Cos2x. Misalkan jika ux 2x dan vx x4 5 maka. Aturannya yaitu Aturan turunan fungsi konstan Aturan turunan fungsi identitas Aturan turunan fungsi pangkat Aturan turunan fungsi berbentuk y axn Turunan jumlah dan selisih fungsi-fungsi. F x x 3 8x 2 Misal. Contoh Soal dan Pembahasan.
Source: slideplayer.info
Pembahasan soal turunan perkalian dan pembagianSelamat belajar. Y 2 x 2 1 2x 2x 1. F x u v u v f x 2x 2 2 2x 3 2x f x 2x 2 4 4x 2 6x f x 6x 2 6x 4. Jika z x y xy 2 43 dengan x tsin2 dan y tcos Tentukan dz dt ketika t 0. U x 2 dan v x maka 4x3.
Pembahasan soal turunan perkalian dan pembagianSelamat belajar. Jika w xy yz 2 x e t y. U 2x 3 u 2 v x 2 2 v 2x. Untuk mengerjakan soal ini anda harus mengingat konsep dasar dari trigonometri yakni bahwa.
Y UV VU.
U x 3 u 3x 3 1 3x 2 v 8x 2 v 8 2 x 2. F x u v u v f x 2x 2 2 2x 3 2x f x 2x 2 4 4x 2 6x f x 6x 2 6x 4. Contoh soal tersebut merupakan salah satu contoh turunan fungsi yang berbentuk y u v dimisalakan u 4x 3 dan v 6x 2. V x Sin2x maka v x 2Cos2x.
Source: teamhannamy.blogspot.com
Contoh soal 9. Jika Guvw u3 2 uvw uw 2 dengan u xy v x y dan w xy Carilah x G dan y G. Soal 10 Turunan pertama dari yfrac3x22x-3 adalah penyelesaian. F x u v u v f x 2x 2 2 2x 3 2x f x 2x 2 4 4x 2 6x f x 6x 2 6x 4.
Source: slideshare.net
Untuk mengerjakan soal ini anda harus mengingat konsep dasar dari trigonometri yakni bahwa. Turunan trigonometri dengan rumus pengembangan II ini cukup kompleks bentuk rumusnya akan tetapi masih mudah untuk di ingat karena sedikit mirip dengan bentuk rumus-rumus sebelumnya. Untuk mengerjakan soal ini anda harus mengingat konsep dasar dari trigonometri yakni bahwa. Y u x.
Source: teamhannamy.blogspot.com
Contoh Soal Carilah turunan dari y 2x 2 x4x 1 Pembahasan u 2x 2 x u 4x 1 v 4x 1 v 4 y uv uv y 4x 14x 1 2x 2 x4 y 16x 2. Maka diperoleh U 2 dan V 2x. Beginalign ux3x2 ux3 vx2x-3 vx2 sehingga yfracuv-vuv2 yfrac32x-3-23x22x-32 yfrac6x-9-6x-42x-32 yfrac-132x-32 endalign Soal 11 Turunan pertama dari fx3x2-74 adalah penyelesaian. Tentukan turunan dari f x cot ax.
Colorredy sinn u to y u.
Carilah turunan dari y x 2 sin 3x. Aturannya yaitu Aturan turunan fungsi konstan Aturan turunan fungsi identitas Aturan turunan fungsi pangkat Aturan turunan fungsi berbentuk y axn Turunan jumlah dan selisih fungsi-fungsi. N sinn-1 u cos u. Itulah pembahasan mengenai Macam Macam Rumus Diferensial dan Contoh Soal Turunan Matematikannya yang bisa Penulis sampaikan kepada kalian sebagai para pembaca di Blog Rumus Rumus ini dan sebagai informasi saja bahwa pembahasan tentang Turunan. No 56 Contoh Soal 1 Carilah f x jika f x 3x 2 7x Penyelesaian.
Source: slideshare.net
Contoh soal tersebut merupakan salah satu contoh turunan fungsi yang berbentuk y u v dimisalakan u 4x 3 dan v 6x 2. Y UV VU. Turunan dari fx 2x 3x 2 2 yaitu. Y 2 x 2 1 2x 2x 1. Maka hasil turunan y adalah.
F x u xvx uxv x 2x4 5 2x4x3 2x4 10 8x4 10x4 10.
Beginalign ux3x2 ux3 vx2x-3 vx2 sehingga yfracuv-vuv2 yfrac32x-3-23x22x-32 yfrac6x-9-6x-42x-32 yfrac-132x-32 endalign Soal 11 Turunan pertama dari fx3x2-74 adalah penyelesaian. Untuk menyelesaikan soal ini misalkan U 2x 1 dan V x 2 1. Soal 10 Turunan pertama dari yfrac3x22x-3 adalah penyelesaian. U 3x 2 u 3 2 x 2 1 6x 1 6 x v 7x v 7 1 x 1 1 7x 0 7 1 7 Jadi jika f x u v maka f x u v 6x 7 Contoh Soal 2 Carilah f x jika f x x 3 8x 2 Penyelesaian.
Source: slidetodoc.com
Contoh soal 9. Maka diperoleh U 2 dan V 2x. Contoh soal 4. F x u v u v f x 2x 2 2 2x 3 2x f x 2x 2 4 4x 2 6x f x 6x 2 6x 4.
Source: slideplayer.info
U x 2 dan v x maka 4x3. Aturannya yaitu Aturan turunan fungsi konstan Aturan turunan fungsi identitas Aturan turunan fungsi pangkat Aturan turunan fungsi berbentuk y axn Turunan jumlah dan selisih fungsi-fungsi. Dengan begitu akan didapatkan penjabaran serta hasilnya. Contoh Soal dan Penyelesaian dalam menentukan turunan pertama fungsi dengan menggunakan definisi turunan fungsi.
Source: teamhannamy.blogspot.com
Contoh Soal Turunan Fungsi Trigonometri Menggunakan Rumus Pengembangan II. Tentukanlah turunan fungsi dari fx 2xx4 5. Y 6x 2 2x 2. Soal 10 Turunan pertama dari yfrac3x22x-3 adalah penyelesaian.
U x 3 u 3x 3 1 3x 2 v 8x 2 v 8 2 x 2.
Maka hasil turunan y adalah. V x Sin2x maka v x 2Cos2x. Y 2 x 2 1 2x 2x 1. Maka hasil turunan y adalah. Aturannya yaitu Aturan turunan fungsi konstan Aturan turunan fungsi identitas Aturan turunan fungsi pangkat Aturan turunan fungsi berbentuk y axn Turunan jumlah dan selisih fungsi-fungsi.
Source: contohsoalunbk-03.blogspot.com
Maka diperoleh U 2 dan V 2x. Misalkan jika ux 2x dan vx x4 5 maka. Y 2 x 2 1 2x 2x 1. Itulah pembahasan mengenai Macam Macam Rumus Diferensial dan Contoh Soal Turunan Matematikannya yang bisa Penulis sampaikan kepada kalian sebagai para pembaca di Blog Rumus Rumus ini dan sebagai informasi saja bahwa pembahasan tentang Turunan. Misalkan U x 2 maka U 2x V sin 3x maka V 3 cos 3x y U V U V y 2x.
Contoh Soal dan Pembahasan.
Beginalign ux3x2 ux3 vx2x-3 vx2 sehingga yfracuv-vuv2 yfrac32x-3-23x22x-32 yfrac6x-9-6x-42x-32 yfrac-132x-32 endalign Soal 11 Turunan pertama dari fx3x2-74 adalah penyelesaian. U x 2 dan v x maka 4x3. Bagaimana cara sobat akan mencari turunan pertama dari soal tersebut tanpa menggunakan fungsi limit. Turunan trigonometri dengan rumus pengembangan II ini cukup kompleks bentuk rumusnya akan tetapi masih mudah untuk di ingat karena sedikit mirip dengan bentuk rumus-rumus sebelumnya.
Source: teamhannamy.blogspot.com
U x 2 dan v x maka 4x3. Y u x. Bagaimana cara sobat akan mencari turunan pertama dari soal tersebut tanpa menggunakan fungsi limit. Contoh Soal Turunan Fungsi Trigonometri Menggunakan Rumus Pengembangan II. U 3x 2 u 3 2 x 2 1 6x 1 6 x v 7x v 7 1 x 1 1 7x 0 7 1 7 Jadi jika f x u v maka f x u v 6x 7 Contoh Soal 2 Carilah f x jika f x x 3 8x 2 Penyelesaian.
Source: slideshare.net
Y u x. Untuk menyelesaikan soal ini misalkan U 2x 1 dan V x 2 1. No 56 Contoh Soal 1 Carilah f x jika f x 3x 2 7x Penyelesaian. Contoh soal 9. Sin 3x x 2.
Source: slideshare.net
Contoh Soal Carilah turunan dari y 2x 2 x4x 1 Pembahasan u 2x 2 x u 4x 1 v 4x 1 v 4 y uv uv y 4x 14x 1 2x 2 x4 y 16x 2. Maka hasil turunan y adalah. Misalkan jika ux 2x dan vx x4 5 maka. Contoh Soal Turunan Fungsi Trigonometri Menggunakan Rumus Pengembangan II. Beginalign ux3x2 ux3 vx2x-3 vx2 sehingga yfracuv-vuv2 yfrac32x-3-23x22x-32 yfrac6x-9-6x-42x-32 yfrac-132x-32 endalign Soal 11 Turunan pertama dari fx3x2-74 adalah penyelesaian.
Situs ini adalah komunitas terbuka bagi pengguna untuk mencurahkan apa yang mereka cari di internet, semua konten atau gambar di situs web ini hanya untuk penggunaan pribadi, sangat dilarang untuk menggunakan artikel ini untuk tujuan komersial, jika Anda adalah penulisnya dan menemukan gambar ini dibagikan tanpa izin Anda, silakan ajukan laporan DMCA kepada Kami.
Jika Anda menemukan situs ini bagus, tolong dukung kami dengan membagikan postingan ini ke akun media sosial seperti Facebook, Instagram dan sebagainya atau bisa juga save halaman blog ini dengan judul contoh soal turunan yuv dengan menggunakan Ctrl + D untuk perangkat laptop dengan sistem operasi Windows atau Command + D untuk laptop dengan sistem operasi Apple. Jika Anda menggunakan smartphone, Anda juga dapat menggunakan menu laci dari browser yang Anda gunakan. Baik itu sistem operasi Windows, Mac, iOS, atau Android, Anda tetap dapat menandai situs web ini.





