Contoh soal turunan hiperbolik.
Jika kamu sedang mencari artikel contoh soal turunan hiperbolik terbaru, berarti kamu telah berada di web yang tepat. Yuk langsung aja kita simak pembahasan contoh soal turunan hiperbolik berikut ini.
31 Contoh Soal Turunan Fungsi Komposisi Kumpulan Contoh Soal From teamhannamy.blogspot.com
U e x e -x. The document has been permanently moved to here. TURUNAN PARSIAL Contoh Soal Diferensial Parsial Dan Pembahasannya - Berbagi Contoh Soal Diferensial Parsial Diferensial Parsial contoh soal dan contoh pidato lengkap. Rumus turunan matematika tabel turunan diferensial kalkulus beserta contoh soal dan jawaban.
Apa ada contoh soal.
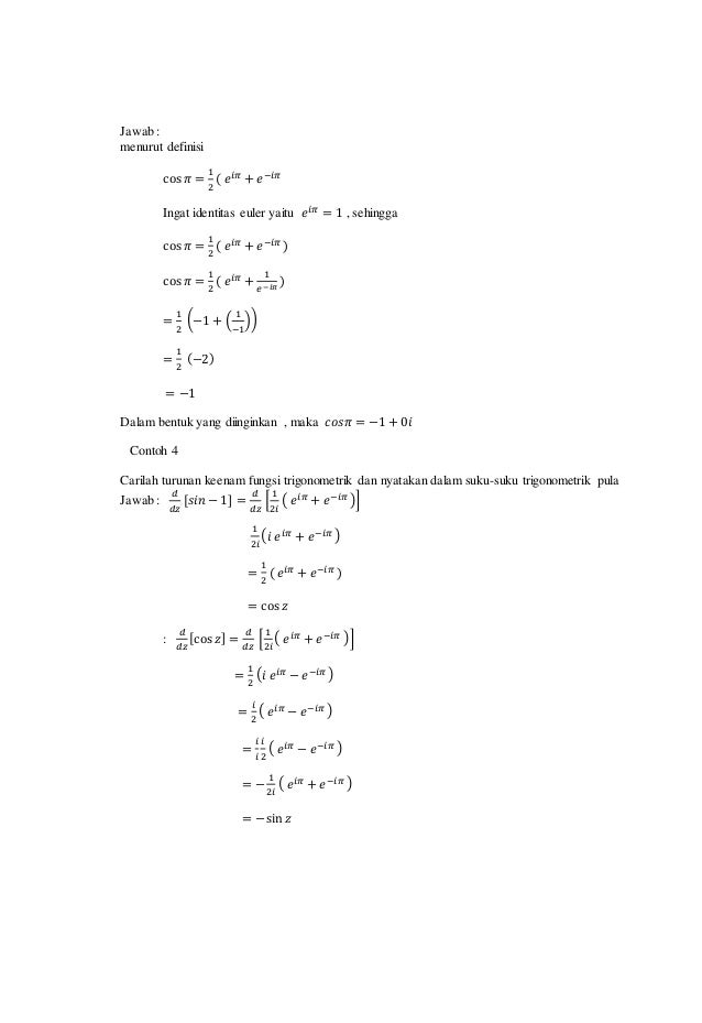
Turunan dan Integral Fungsi Hiperbolik Misal y sinh u. Sehingga fungsi-fungsi yang memuat kombinasi tersebut diberi nama khusus salah satunya adalah fungsi hiperbolik. The document has been permanently moved to here. Contoh soal 2. Tentukan nilai z yang memenuhi persamaan e 2 z 10 1 Jawab.
Source: teamhannamy.blogspot.com
301 Moved Permanently. Y tanh u y sech2u u sech2u du tanh u C 3. 28 Contoh Soal Turunan Hiperbolik. Contoh soal 2. Turunan fungsi y cosh x adalah.
Hiperbolik namun tidak banyak yang menulis tentang penurunan rumus atau formula dari fungsi hiperbolik.
Contoh soal turunan fungsi hiperbolik. Csch x x sinh 1 x x e e 2 Persamaan dasar mirip dengan fungsi trigonometri biasa. Contoh soal 3. Contoh soal fungsi turunan beserta jawaban 1diketahui fx 2x 3 3x 4 tentukan turunannya.
Source: slideplayer.info
Permasalahan yang dikaji dalam penelitian ini adalah bagaimana membangun fungsi hiperbolik dan menentukan invers fungsi hiperbolik dan turunan serta anti turunan fungsi hiperbolik. Sebuh smk cempaka 2 memiliki data ekstrakurikuler seperti. Turunan pada dasarnya berkaitan dengan variabel. Sehingga fungsi-fungsi yang memuat kombinasi tersebut diberi nama khusus salah satunya adalah fungsi hiperbolik.
Source: teamhannamy.blogspot.com
Contoh soal 1. Tentukan nilai z yang memenuhi persamaan e 2 z 10 1 Jawab. Contoh soal turunan fungsi hiperbolik. Turunan fungsi y tanh x adalah.
Source: duniabelajarsiswapintar207.blogspot.com
U e x e -x. The document has been permanently moved to here. Apa ada contoh soal integral fungsi eksponen nya ka. 28 Contoh Soal Turunan Hiperbolik.
Carilah turunan pertama dari Jawab. Contoh Soal Turunan Fungsi Hiperbolik. Fungsi Hiperbolik Fungsi Trigonometri a. U e x e -x.
The document has been permanently moved to here.
Untuk itu dalam menyelesaikan soal soal turunan tentunya kita akan menjumpai variabel di. Contoh Soal Fungsi Hiperbolik Contoh Soal Diferensial Parsial Dan Pembahasannya - Contoh Soal Terbaru Modul persamaan diferensial 1 Soal dan Pembahasan Turunan Fungsi Implisit 1. Tapi disini kita tidak akan membahas mengenai materi pelajaran tersebut. Contoh Soal Turunan Fungsi Hiperbolik. Telah banyak buku-buku kalkulus yang menulis tentang fungsi hiperbolik namun tidak banyak yang menulis tentang penurunan rumus atau formula dari fungsi hiperbolik.
Source: teamhannamy.blogspot.com
Tapi disini kita tidak akan membahas mengenai materi pelajaran tersebut. Turunan pada dasarnya berkaitan dengan variabel. Contoh soal turunan implisit beserta jawabannya. Fungsi hiperbolik dan inversnya skripsi disusun dalam rangka menyelesaikan studi strata 1 untuk memperoleh gelar sarjana sains oleh nama. Turunan fungsi y tanh x adalah.
Maka y D e e e e x u u u u u u u cosh 2 2. Telah banyak buku-buku kalkulus yang menulis tentang fungsi hiperbolik namun tidak banyak yang menulis tentang penurunan rumus atau formula dari fungsi hiperbolik. Fungsi hiperbolik dan inversnya skripsi disusun dalam rangka menyelesaikan studi strata 1 untuk memperoleh gelar sarjana sains oleh nama. Selain itu memiliki invers serta turunan dan anti turunan fungsi hiperbolik dan inversnya.
Sehingga fungsi-fungsi yang memuat kombinasi tersebut diberi nama khusus salah satunya adalah fungsi hiperbolik.
Apa ada contoh soal. V e x e-x. Untuk itu dalam menyelesaikan soal soal turunan tentunya kita akan menjumpai variabel di. Contoh soal 3.
Source: slideplayer.info
Hiperbolik namun tidak banyak yang menulis tentang penurunan rumus atau formula dari fungsi hiperbolik. Soal pembahasan matematika sd smp sma. Contoh Soal Turunan Fungsi Hiperbolik. Turunan pada dasarnya berkaitan dengan variabel.
Source: soalujian-02.blogspot.com
Turunan pada dasarnya berkaitan dengan variabel. Contoh Soal Turunan Fungsi Hiperbolik. Banyak yang salah jawabannya heheh. Z x yi 2z 1 2x-12yi e 2 z 1 1 e 2 z 1 cos 2y i sin 2y 1 cos o0 i sin 00 Dengan menggunakan kesamaan dua bilangan kompleks dalam bentuk polar diperoleh.
Source: duniabelajarsiswapintar207.blogspot.com
U e x e -x. Rumus turunan matematika tabel turunan diferensial kalkulus trigonometri beserta contoh soal dan jawaban. Contoh soal 3. Materi ini juga penting untuk dikuasai oleh rekan rekan pelajar.
Contoh soal 1.
Contoh soal turunan fungsi hiperbolik. Hal ini terlihat jelas dari pengertian turunan yaitu perhitungan nilai fungsi yang mengalami perubahan disebabkan nilai inputnya variabel berubah. Carilah turunan pertama dari Jawab. Sebuh smk cempaka 2 memiliki data ekstrakurikuler seperti. V e x e-x.
Source: teamhannamy.blogspot.com
Kita bisa mendapatkannya dengan mudah. Sehingga fungsi-fungsi yang memuat kombinasi tersebut diberi nama khusus salah satunya adalah fungsi hiperbolik. Selain itu memiliki invers serta turunan dan anti turunan fungsi hiperbolik dan inversnya. Contoh soal turunan fungsi hiperbolik. Kunci Jawaban Buku Bahasa Indonesia Kelas 7 Kurikulum 2013 Revisi Buku kurikulum 2013 kelas vii edisi revisi 2017 sahabat buku paket yang selalu setia pada tahun ajaran baru 20172018 beberapa buku kurikulum 2013 mengalami perubahan atau.
Rumus turunan matematika tabel turunan diferensial kalkulus beserta contoh soal dan jawaban.
Contoh soal turunan fungsi hiperbolik. Csch x x sinh 1 x x e e 2 Persamaan dasar mirip dengan fungsi trigonometri biasa. Turunan dan Integral Fungsi Hiperbolik Misal y sinh u. Turunan fungsi y cosh x adalah.
Source: soalujian-02.blogspot.com
Https Multisite Itb Ac Id Ltpb Wp Content. 28 Contoh Soal Turunan Hiperbolik. Sech x x cosh 1 x x e e 2 6. TURUNAN PARSIAL Contoh Soal Diferensial Parsial Dan Pembahasannya - Berbagi Contoh Soal Diferensial Parsial Diferensial Parsial contoh soal dan contoh pidato lengkap.
Source: teamhannamy.blogspot.com
Fungsi Hiperbolik Fungsi Trigonometri a. Soal pembahasan matematika sd smp sma. Untuk itu dalam menyelesaikan soal soal turunan tentunya kita akan menjumpai variabel di. Contoh Soal Turunan Fungsi Hiperbolik.
Source: soalujian-02.blogspot.com
Sech x x cosh 1 x x e e 2 6. Materi ini juga penting untuk dikuasai oleh rekan rekan pelajar. Z x yi 2z 1 2x-12yi e 2 z 1 1 e 2 z 1 cos 2y i sin 2y 1 cos o0 i sin 00 Dengan menggunakan kesamaan dua bilangan kompleks dalam bentuk polar diperoleh. Y tanh u y sech2u u sech2u du tanh u C 3.
Turunan pada dasarnya berkaitan dengan variabel.
Contoh soal turunan implisit beserta jawabannya. U e x e -x. TURUNAN PARSIAL Contoh Soal Diferensial Parsial Dan Pembahasannya - Berbagi Contoh Soal Diferensial Parsial Diferensial Parsial contoh soal dan contoh pidato lengkap. Contoh soal 3. Csch x x sinh 1 x x e e 2 Persamaan dasar mirip dengan fungsi trigonometri biasa.
Source: kelasbelajarseek.blogspot.com
Coth x x sinh x cosh x x x x e e e e 5. Tapi disini kita tidak akan membahas mengenai materi pelajaran tersebut. 301 Moved Permanently. Ingat lagi ya jika sehingga. Coth x x sinh x cosh x x x x e e e e 5.
Contoh Soal Turunan Fungsi Hiperbolik.
Telah banyak buku-buku kalkulus yang menulis tentang fungsi hiperbolik namun tidak banyak yang menulis tentang penurunan rumus atau formula dari fungsi hiperbolik. Csch x x sinh 1 x x e e 2 Persamaan dasar mirip dengan fungsi trigonometri biasa. Fungsi hiperbolik dan inversnya skripsi disusun dalam rangka menyelesaikan studi strata 1 untuk memperoleh gelar sarjana sains oleh nama. Contoh soal 1.
Source: soalujian-02.blogspot.com
Tentukan nilai z yang memenuhi persamaan e 2 z 10 1 Jawab. Ingat lagi ya jika sehingga. Contoh Soal Turunan Fungsi Hiperbolik. Contoh Soal Turunan Beserta Jawaban dan Pembahasannya. Sech x x cosh 1 x x e e 2 6.
Source: id.pinterest.com
Apa ada contoh soal integral fungsi eksponen nya ka. Contoh soal pemahaman comprehension c2 pada jenjang ini siswa diharapkan kemampuannya untuk mengerti makna dari informasi yang diperoleh baik berupa fakta konsep dan prinsip. Maka y D e e e e x u u u u u u u cosh 2 2. Cosh u du sinh u C Untuk fungsi hiperbolik yang lain. U e x e -x.
Source: soalujian-02.blogspot.com
Contoh soal 2. Https Multisite Itb Ac Id Ltpb Wp Content. Turunan dan Integral Fungsi Hiperbolik Misal y sinh u. Sech x x cosh 1 x x e e 2 6. Contoh soal 1.
Situs ini adalah komunitas terbuka bagi pengguna untuk membagikan apa yang mereka cari di internet, semua konten atau gambar di situs web ini hanya untuk penggunaan pribadi, sangat dilarang untuk menggunakan artikel ini untuk tujuan komersial, jika Anda adalah penulisnya dan menemukan gambar ini dibagikan tanpa izin Anda, silakan ajukan laporan DMCA kepada Kami.
Jika Anda menemukan situs ini lengkap, tolong dukung kami dengan membagikan postingan ini ke akun media sosial seperti Facebook, Instagram dan sebagainya atau bisa juga simpan halaman blog ini dengan judul contoh soal turunan hiperbolik dengan menggunakan Ctrl + D untuk perangkat laptop dengan sistem operasi Windows atau Command + D untuk laptop dengan sistem operasi Apple. Jika Anda menggunakan smartphone, Anda juga dapat menggunakan menu laci dari browser yang Anda gunakan. Baik itu sistem operasi Windows, Mac, iOS, atau Android, Anda tetap dapat menandai situs web ini.




