Contoh soal limit fungsi aljabar dan pembahasannya doc.
Jika kamu mencari artikel contoh soal limit fungsi aljabar dan pembahasannya doc terlengkap, berarti kamu telah berada di blog yang tepat. Yuk langsung aja kita simak ulasan contoh soal limit fungsi aljabar dan pembahasannya doc berikut ini.
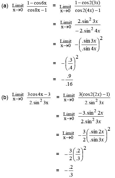
Contoh Soal Limit Kumpulan Soal Pelajaran 7 From soalujian-77.blogspot.com
Berdasarkan bentuk yang terakhir diperoleh. Berikut ini adalah contoh soal dan pembahasan super lengkap mengenai limit khusus fungsi aljabar. Contoh Soal Limit Beserta Pembahasan dan Jawabannya. Untuk dapat memahami pengertian limit secara intuitif perhatikanlah contoh berikut.
Documents Similar To Soal Dan Pembahasan Limit Fungsi.
Selain turunan fungsi aljabar juga dikenal turunan fungsi trigonometri. Berdasarkan bentuk yang terakhir diperoleh. Contoh Soal Limit Fungsi Trigonometri Aljabar Pembahasan. Kumpulan contoh soal berbagai mata pelajaran seperti matematika ipa ips biologi dan lainya sebagai latihan mengerjakan soal agar dapat hasil yang memuaskan saat ujian. Contoh soal limit fungsi aljabar dan pembahasannya doc.
Source: mathlabs88.blogspot.com
Pembahasan Soal UN Limit Fungsi Aljabar. Contoh soal limit fungsi aljabar menggunakan analisis grafik. Kumpulan contoh soal berbagai mata pelajaran seperti matematika ipa ips biologi dan lainya sebagai latihan mengerjakan soal agar dapat hasil yang memuaskan saat ujian. Selain turunan fungsi aljabar juga dikenal turunan fungsi trigonometri. Berdasarkan bentuk yang terakhir diperoleh.
Soal dan Pembahasan Limit Fungsi Aljabar Setelah tadi sedikit diberi asupan materi tentang limit fungsi aljabar sekarang waktunya nih buat kamu belajar contoh soal dan pembahasannya agar nanti kamu makin punya banyak gambaran soal yang mungkin keluar terkait materi limit fungsi aljabar ini.
Admin blog Contoh Soal Terbaru 01 January 2019 juga mengumpulkan gambar-gambar lainnya terkait contoh soal limit fungsi dan pembahasannya dibawah ini. Sabtu 28 September 2019 contoh soal limit fungsi aljabar dan pembahasannya doc. Documents Similar To Soal Dan Pembahasan Limit Fungsi. Limit fungsi aljabar merupakan salah satu materi penting dalam pelajaran matematika.
Source: encrypted-tbn0.gstatic.com
Berdasarkan bentuk yang terakhir diperoleh. Untuk soal limit fungsi trigonometri dipisahkan pada pos lain karena soalnya akan. 42 Contoh Soal Npv Dan Pembahasannya. Latihan Soal Hots Sbmptn Dan Pembahasan 2019 Matematika Ipa.
Source: senidansastrapopuler.blogspot.com
Inilah yang anda cari tentang Contoh Soal Limit Fungsi Aljabar Dan Pembahasannya Doc. Soal dan jawaban turunan differensial doc. 6 Tipe Soal Limit Aljabar dan Cara Jawabnya Mat Wajib Kls 11limitfungsialjabar limitkelas11 patmatematikawajib6 tipe soal limit fungsi aljabar ini dipel. Pembahasan Soal UN Limit Fungsi Aljabar.
Source: soalujian-77.blogspot.com
Contoh soal dan pembahasan tentang limit trigonometri. Pembahasan soal-soal Ujian Nasional UN SMA bidang studi Matematika IPA untuk pokok bahasan Limit Fungsi Aljabar. Soal dan Pembahasan Super Lengkap Limit Fungsi Aljabar Berikut ini adalah contoh soal dan pembahasan super lengkap mengenai limit khusus fungsi aljabar. Contoh soal limit fungsi aljabar dan pembahasannya doc.
Soal dan jawaban turunan differensial doc. Contoh soal limit fungsi aljabar menggunakan analisis grafik. SOAL SOAL LIMIT FUNGSI ALJABAR Author. Contoh Soal Limit Fungsi Aljabar Dan Pembahasannya Doc.
Bahan Ajar Limit Fungsi Aljabar Doc - Guru Ilmu Sosial Douglas Pratt Soal contoh contoh soal dan pembahasan.
Contoh Soal Limit Fungsi Trigonometri Aljabar Pembahasan. Untuk soal limit fungsi trigonometri dipisahkan pada pos lain karena soalnya akan. Untuk dapat memahami pengertian limit secara intuitif perhatikanlah contoh berikut. Berikut ini adalah contoh soal dan pembahasan super lengkap mengenai limit khusus fungsi aljabar. Nilai dari limx 2 4 x2 3 x2 5.
Source: mathlabs88.blogspot.com
Latihan Soal Hots Sbmptn Dan Pembahasan 2019 Matematika Ipa. Pembahasan soal-soal Ujian Nasional UN SMA bidang studi Matematika IPA untuk pokok bahasan Limit Fungsi Aljabar. Soal dan jawaban turunan differensial doc. Sebelum membahas cara menentukan nilai limit trigonometri sebaiknya memahami pengertian limit dahulu. Dalam pengoprasian limit fungsi aljabar terkadang nilai x mendekati tak berhingga sehingga jika disubstitusikan fungsi menghasilkan nilai tak tentu.
Contoh soal limit fungsi aljabar dan pembahasannya doc. Soal dan Pembahasan Limit Fungsi Aljabar Setelah tadi sedikit diberi asupan materi tentang limit fungsi aljabar sekarang waktunya nih buat kamu belajar contoh soal dan pembahasannya agar nanti kamu makin punya banyak gambaran soal yang mungkin keluar terkait materi limit fungsi aljabar ini. Contoh Soal Limit Fungsi Trigonometri Aljabar Pembahasan. Newer Post Older Post Home.
Soal dan Pembahasan Super Lengkap Limit Fungsi Aljabar Berikut ini adalah contoh soal dan pembahasan super lengkap mengenai limit khusus fungsi aljabar.
Contoh soal dan pembahasan tentang limit. Berdasarkan bentuk yang terakhir diperoleh. Pembahasan Soal UN Limit Fungsi Aljabar. Dalam pengoprasian limit fungsi aljabar terkadang nilai x mendekati tak berhingga sehingga jika disubstitusikan fungsi menghasilkan nilai tak tentu.
Source: soalujian-77.blogspot.com
Contoh soal limit fungsi aljabar menggunakan analisis grafik. Soal dan Pembahasan Limit Fungsi Aljabar Setelah tadi sedikit diberi asupan materi tentang limit fungsi aljabar sekarang waktunya nih buat kamu belajar contoh soal dan pembahasannya agar nanti kamu makin punya banyak gambaran soal yang mungkin keluar terkait materi limit fungsi aljabar ini. Contoh Soal Limit Beserta Pembahasan dan Jawabannya. Berdasarkan bentuk yang terakhir diperoleh.
Source: cute766.info
Newer Post Older Post Home. Contoh soal dan pembahasan tentang limit. Berikut ini adalah contoh soal dan pembahasan super lengkap mengenai limit khusus fungsi aljabar. Contoh soal dan pembahasan tentang limit trigonometri.
Source: fdokumen.com
Kumpulan contoh soal berbagai mata pelajaran seperti matematika ipa ips biologi dan lainya sebagai latihan mengerjakan soal agar dapat hasil yang memuaskan saat ujian. Soal pembahasan Matematika SD SMP SMA. Contoh soal dan pembahasan tentang limit. Soal dan Pembahasan Limit Fungsi Aljabar Setelah tadi sedikit diberi asupan materi tentang limit fungsi aljabar sekarang waktunya nih buat kamu belajar contoh soal dan pembahasannya agar nanti kamu makin punya banyak gambaran soal yang mungkin keluar terkait materi limit fungsi aljabar ini.
Untuk soal limit fungsi trigonometri dipisahkan pada pos lain karena soalnya akan.
November 20 2020. Contoh soal dan pembahasan tentang limit trigonometri. Contoh Soal Limit Fungsi Aljabar dan Pembahasan Pengertian Limit Fungsi Secara Intuitif Limit dapat digunakan untuk menjelaskan pengaruh variabel fungsi yang bergerak mendekati suatu titik terhadap fungsi tersebut. Pembahasan soal-soal Ujian Nasional UN SMA bidang studi Matematika IPA untuk pokok bahasan Limit Fungsi Aljabar. Documents Similar To Soal Dan Pembahasan Limit Fungsi.
Source: slideshare.net
Ismail - 2010 Created Date. Berdasarkan bentuk yang terakhir diperoleh. Nilai dari limx 2 4 x2 3 x2 5. Berikut ini adalah contoh soal dan pembahasan super lengkap mengenai limit khusus fungsi aljabar. Bahan Ajar Limit Fungsi Aljabar Doc - Guru Ilmu Sosial Douglas Pratt Soal contoh contoh soal dan pembahasan.
Pembahasan Soal UN Limit Fungsi Aljabar.
Limit fungsi aljabar merupakan salah satu materi penting dalam pelajaran matematika. Contoh Soal Limit Fungsi Aljabar Dan Pembahasannya Doc. Inilah yang anda cari tentang Contoh Soal Limit Fungsi Aljabar Dan Pembahasannya Doc. Nilai dari limx 2 4 x2 3 x2 5.
Source: rumusrumus.com
Limit fungsi aljabar merupakan salah satu materi penting dalam pelajaran matematika. Kumpulan contoh soal berbagai mata pelajaran seperti matematika ipa ips biologi dan lainya sebagai latihan mengerjakan soal agar dapat hasil yang memuaskan saat ujian. Ismail - 2010 Created Date. Tutorial ini diperbolehkan untuk di copy di sebarluaskan di print dan diperbaiki dengan tetap menyertakan nama penulis tanpa ada tujuan komersial 1 Lahir di Bandung tahun 1956 Lulus dari SMK Kimia melanjutkan studinya ke UPI IKIP Bandung lalu.
Source: encrypted-tbn0.gstatic.com
Contoh soal limit fungsi aljabar menggunakan analisis grafik. Pembahasan Soal UN Limit Fungsi Aljabar. Soal dan jawaban turunan differensial doc. Untuk soal limit fungsi trigonometri dipisahkan pada pos lain karena soalnya akan.
Source: mathlabs88.blogspot.com
9172017 121600 AM Company. Admin blog Contoh Soal Terbaru 01 January 2019 juga mengumpulkan gambar-gambar lainnya terkait contoh soal limit fungsi dan pembahasannya dibawah ini. Sabtu 28 September 2019 contoh soal limit fungsi aljabar dan pembahasannya doc. Bahan Ajar Limit Fungsi Aljabar Doc - Guru Ilmu Sosial Douglas Pratt Soal contoh contoh soal dan pembahasan.
Contoh Soal Limit Beserta Pembahasan dan Jawabannya.
November 20 2020. 6 Tipe Soal Limit Aljabar dan Cara Jawabnya Mat Wajib Kls 11limitfungsialjabar limitkelas11 patmatematikawajib6 tipe soal limit fungsi aljabar ini dipel. Contoh soal limit fungsi aljabar dan pembahasannya doc. Microsoft Last modified by. Selain turunan fungsi aljabar juga dikenal turunan fungsi trigonometri.
Source: slideshare.net
42 Contoh Soal Npv Dan Pembahasannya. By Ahmad Ghani Posted on April 2 2021. Pembahasan soal-soal Ujian Nasional UN SMA bidang studi Matematika IPA untuk pokok bahasan Limit Fungsi Aljabar. SOAL SOAL LIMIT FUNGSI ALJABAR Author. Admin blog Contoh Soal Terbaru 01 January 2019 juga mengumpulkan gambar-gambar lainnya terkait contoh soal limit fungsi dan pembahasannya dibawah ini.
Berikut ini adalah contoh soal dan pembahasan super lengkap mengenai limit khusus fungsi aljabar.
November 20 2020. Contoh Soal Limit Beserta Pembahasan dan Jawabannya. Berikut ini adalah contoh soal dan pembahasan super lengkap mengenai limit khusus fungsi aljabar. Admin blog Contoh Soal Terbaru 01 January 2019 juga mengumpulkan gambar-gambar lainnya terkait contoh soal limit fungsi dan pembahasannya dibawah ini.
Source: teamhannamy.blogspot.com
Soal dan Pembahasan Limit Fungsi Aljabar Setelah tadi sedikit diberi asupan materi tentang limit fungsi aljabar sekarang waktunya nih buat kamu belajar contoh soal dan pembahasannya agar nanti kamu makin punya banyak gambaran soal yang mungkin keluar terkait materi limit fungsi aljabar ini. 4 soal limit fungsi aljabar un 2012 pembahasan ubah bentuk akarnya ke bentuk pangkat agar lebih mudah diturunkan seperti ini. Contoh soal dan pembahasan tentang limit. Pembahasan Soal UN Limit Fungsi Aljabar. Contoh Soal Limit Fungsi Trigonometri Aljabar Pembahasan.
Source: teamhannamy.blogspot.com
Sabtu 28 September 2019 contoh soal limit fungsi aljabar dan pembahasannya doc. Dalam pengoprasian limit fungsi aljabar terkadang nilai x mendekati tak berhingga sehingga jika disubstitusikan fungsi menghasilkan nilai tak tentu. Contoh Soal Limit Fungsi Aljabar dan Pembahasan Pengertian Limit Fungsi Secara Intuitif Limit dapat digunakan untuk menjelaskan pengaruh variabel fungsi yang bergerak mendekati suatu titik terhadap fungsi tersebut. Pembahasan Soal UN Limit Fungsi Aljabar. Inilah yang anda cari tentang Contoh Soal Limit Fungsi Aljabar Dan Pembahasannya Doc.
Source: rumusrumus.com
By Ahmad Ghani Posted on April 2 2021. Kumpulan contoh soal berbagai mata pelajaran seperti matematika ipa ips biologi dan lainya sebagai latihan mengerjakan soal agar dapat hasil yang memuaskan saat ujian. Contoh soal dan pembahasan tentang limit. Contoh soal limit fungsi aljabar menggunakan analisis grafik. Microsoft Last modified by.
Situs ini adalah komunitas terbuka bagi pengguna untuk berbagi apa yang mereka cari di internet, semua konten atau gambar di situs web ini hanya untuk penggunaan pribadi, sangat dilarang untuk menggunakan artikel ini untuk tujuan komersial, jika Anda adalah penulisnya dan menemukan gambar ini dibagikan tanpa izin Anda, silakan ajukan laporan DMCA kepada Kami.
Jika Anda menemukan situs ini lengkap, tolong dukung kami dengan membagikan postingan ini ke akun media sosial seperti Facebook, Instagram dan sebagainya atau bisa juga save halaman blog ini dengan judul contoh soal limit fungsi aljabar dan pembahasannya doc dengan menggunakan Ctrl + D untuk perangkat laptop dengan sistem operasi Windows atau Command + D untuk laptop dengan sistem operasi Apple. Jika Anda menggunakan smartphone, Anda juga dapat menggunakan menu laci dari browser yang Anda gunakan. Baik itu sistem operasi Windows, Mac, iOS, atau Android, Anda tetap dapat menandai situs web ini.





