Contoh soal integral tak tentu dalam kehidupan sehari hari.
Jika kamu mencari artikel contoh soal integral tak tentu dalam kehidupan sehari hari terbaru, berarti kamu telah berada di website yang tepat. Yuk langsung saja kita simak pembahasan contoh soal integral tak tentu dalam kehidupan sehari hari berikut ini.
Penerapan Integral Tak Tentu Mata Pelajaran From mataseluruhdunia208.blogspot.com
Tom And Jerry Tom S Trap O Matic Kitchen Youtube. Sebagai contoh gedung petronas di kuala lumpur dan gedung gedung pencakar langit di seluruh dunia dirancang dengan memperhatikan ketinggian lantai dan kekuatan. Sebagai contoh gedung petronas di kuala lumpur dan gedung gedung pencakar langit di seluruh dunia dirancang dengan memperhatikan ketinggian lantai dan kekuatan. A menentukan luas suatu bidang b menentukan voluem benda putar c menentukan panjang busur.
Integral dapat diaplikasikan ke dalam banyak hal.
Tom and jerry toms trap omatic kitchen my trap in kitchenyou can play this game at. Tom And Jerry Tom S Trap O Matic Kitchen Youtube. May 21 2021 Post a Comment. Contoh contoh soal ulangan semester 1 untuk anak tk. Contoh soal penerapan integral tak tentu dalam kehidupan sehari hari banyak permasalahan kehidupan sehari hari yang penyelesaiannya terkait dengan konsep dan aturan aturan matematika.
Source: winmahdi.com
Dari yang sederhana hingga aplikasi perhitungan yang sangat kompleks. Sebagai contoh gedung Petronas di Kuala Lumpur dan gedung-gedung pencakar langit di seluruh dunia dirancang dengan memperhatikan ketinggian lantai dan kekuatan anginnya. Sebagai contoh gedung petronas di kuala lumpur dan gedung gedung pencakar langit di seluruh dunia dirancang dengan memperhatikan ketinggian lantai dan kekuatan. Sebuah bola bergerak dengan kecepatan V mdet. Untuk lebih memahami integral perhatikan contoh soal dan pembahasan integral berikut ini.
Sekolah tinggi ilmu ekonomi indonesia maret 2016 integral anti differensial konsep dasar integral dalam kalkulus integral dikenal dua macam integral yaitu integral tak tentu dan integral tertentu.
Contoh Soal Penggunaan Integral dalam Kehidupan Sehari-Hari. Integral dapat diaplikasikan ke dalam banyak hal. Untuk menemukan hubungan ini kita memerlukan proses integral antidiferensial dan Lihat gedung Petronas di Kuala Lumpur atau gedung-gedung bertingkat di Jakarta. Contoh Soal Penerapan Integral Tak Tentu dalam Kehidupan Sehari-Hari - Banyak permasalahan kehidupan sehari-hari yang penyelesaiannya terkait dengan konsep dan aturan-aturan matematika.
Source: aseprespati.blogspot.com
Berikut dicontohkan penerapan materi Integral dalam kehidupan sehari-hari 1. Contoh integral dalam kehidupan sehari harikita tahu kecepatan sebuah motor pada waktu tertentu tapi kita ingin tau posisi benda itu pada setiap waktu. Kegunaan integral dalam kehidupan sehari-hari banyak sekali diantaranya menentukan luas suatu bidang menentukan volume benda putar menentukan panjang busur dan sebagainya. Contoh kisi kisi soal bahasa indonesia.
Source: senidansastrapopuler.blogspot.com
Contoh Soal Penggunaan Integral dalam Kehidupan Sehari-Hari. Dari yang sederhana hingga aplikasi perhitungan yang sangat kompleks. Contoh soal integral tak tentu kehidupan sehari hari beserta penjelasannya. A menentukan luas suatu bidang b menentukan voluem benda putar c menentukan panjang busur.
Source: contohsoaldanmateripelajaran-211.blogspot.com
Contoh kisi kisi soal bahasa indonesia. Contoh Soal Penerapan Integral Tak Tentu dalam Kehidupan Sehari-Hari - Banyak permasalahan kehidupan sehari-hari yang penyelesaiannya terkait dengan konsep dan aturan-aturan matematika. Pada saat t detik kecepatan bola dinyatakan dengan V 25-t. Integral tak tentu dapat diterapkan dalam memecahkan beberapa permasalahan baik dibidang matematika fisika kimia ataupun pada permasalahan sehari-hari lainnya.
A menentukan luas suatu bidang b menentukan voluem benda putar c menentukan panjang busur. Akan tetapi rasa penasaran kalian akan terobati ini sebenarnya fungsi dan manfaat mempelajari materi matematika integral dalam kehidupan nyata simak baik-baik. Sebuah bola bergerak dengan kecepatan V mdet. Integral tak tentu dapat diterapkan dalam memecahkan beberapa permasalahan baik dibidang matematika fisika kimia ataupun pada permasalahan sehari-hari lainnya.
Contoh soal penerapan integral tak tentu dalam kehidupan sehari hari banyak permasalahan kehidupan sehari hari yang penyelesaiannya terkait dengan konsep dan aturan aturan matematika.
Contoh kisi kisi soal bahasa indon. 10 contoh soal integral tak tentu BPJS cabut berkas contoh surat pencabutan berkas di bpn contoh berkas cahaya konvergen. Pada t 6 detik posisi bola berada pada jarak 120 meter dari titik asal. Laju perubahan sesaat dari pendapatan tersebut untuk x 100 adalah. Contoh Soal Penerapan Integral Tak Tentu dalam Kehidupan Sehari-Hari - Banyak permasalahan kehidupan sehari-hari yang penyelesaiannya terkait dengan konsep dan aturan-aturan matematika.
Source: teamhannamy.blogspot.com
Beberapa contoh penerapan tersebut diantaranya adalah. Pada saat t detik kecepatan bola dinyatakan dengan V 25-t. Dari yang sederhana hingga aplikasi perhitungan yang sangat kompleks. Contoh integral dalam kehidupan sehari-harikita tahu kecepatan sebuah motor pada waktu tertentu tapi kita ingin tau posisi benda itu pada setiap waktu. Contoh contoh soal ulangan semester 1 untuk anak tk.
Contoh Soal Penerapan Integral Tak Tentu dalam Kehidupan Sehari-Hari - Banyak permasalahan kehidupan sehari-hari yang penyelesaiannya terkait dengan konsep dan aturan-aturan matematika. Dari yang sederhana hingga aplikasi perhitungan yang sangat kompleks. Sebagai contoh gedung petronas di kuala lumpur dan gedung gedung pencakar langit di seluruh dunia dirancang dengan memperhatikan ketinggian lantai dan kekuatan. 28 contoh soal integral tak tentu dalam kehidupan sehari hari kumpulan contoh soal.
Dari yang sederhana hingga aplikasi perhitungan yang sangat kompleks.
Contoh kisi kisi soal bahasa indonesia. Aplikasi Integral dalam Kehidupan Aplikasi Integral Integral dapat diaplikasikan ke dalam banyak hal. Contoh Soal Penerapan Integral Tak Tentu dalam Kehidupan Sehari-Hari - Banyak permasalahan kehidupan sehari-hari yang penyelesaiannya terkait dengan konsep dan aturan-aturan matematika. Dari yang sederhana hingga aplikasi perhitungan yang sangat kompleks.
Source: contohsoaldanmateripelajaran-211.blogspot.com
28 contoh soal integral tak tentu dalam kehidupan sehari hari kumpulan contoh soal. A menentukan luas suatu bidang b menentukan voluem benda putar c menentukan panjang busur. Contoh soal penerapan integral tak tentu dalam kehidupan sehari hari banyak permasalahan kehidupan sehari hari yang penyelesaiannya terkait dengan konsep dan aturan aturan matematika. Pada t 6 detik posisi bola berada pada jarak 120 meter dari titik asal.
Source: senidansastrapopuler.blogspot.com
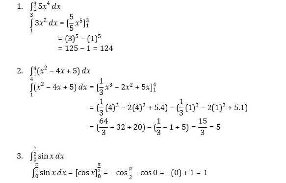
Nah setelah kita memahami definisi dari integral dan tau macam macam yang ada dalam integral integral tentu tak tentu berikut kami berikan contoh soal da pembahasannya sebagai bekal kalian untuk semakin mempermudah pemahaman terkait materi integral. Jika diketahui f x 6x 2. Contoh soal dan pembahasan integral. Contoh Soal Integral Tak Tentu Bentuk Pecahan.
Source: skuylahhu.com
Untuk menemukan hubungan ini kita memerlukan proses integral antidiferensial dan Lihat gedung Petronas di Kuala Lumpur atau gedung-gedung bertingkat di Jakarta. Sekolah tinggi ilmu ekonomi indonesia maret 2016 integral anti differensial konsep dasar integral dalam kalkulus integral dikenal dua macam integral yaitu integral tak tentu dan integral tertentu. Kegunaan integral dalam kehidupan sehari-hari banyak sekali diantaranya menentukan luas suatu bidang menentukan volume benda putar menentukan panjang busur dan. Contoh soal penerapan integral tak tentu dalam kehidupan sehari hari banyak permasalahan kehidupan sehari hari yang penyelesaiannya terkait dengan konsep dan aturan aturan matematika.
Dari yang sederhana hingga aplikasi perhitungan yang sangat kompleks.
Nah setelah kita memahami definisi dari integral dan tau macam macam yang ada dalam integral integral tentu tak tentu berikut kami berikan contoh soal da pembahasannya sebagai bekal kalian untuk semakin mempermudah pemahaman terkait materi integral. Untuk lebih memahami integral perhatikan contoh soal dan pembahasan integral berikut ini. Tom And Jerry Trap O Matic 3 Youtube. Contoh soal dan pembahasan integral. 28 contoh soal integral tak tentu dalam kehidupan sehari hari kumpulan contoh soal.
Source: contohsoaldanmateripelajaran-211.blogspot.com
Aplikasi Integral dalam Kehidupan Aplikasi Integral Integral dapat diaplikasikan ke dalam banyak hal. Contoh kisi kisi soal bahasa indonesia. May 21 2021 Post a Comment. Contoh contoh soal ulangan semester 1 untuk anak tk. Contoh soal integral tak tentu kehidupan sehari hari beserta penjelasannya.
Kegunaan integral dalam kehidupan sehari-hari banyak sekali diantaranya menentukan luas suatu bidang menentukan volume benda putar menentukan panjang busur dan sebagainya.
May 21 2021 Post a Comment. Aplikasi Integral dalam Kehidupan Aplikasi Integral Integral dapat diaplikasikan ke dalam banyak hal. Untuk lebih memahami integral perhatikan contoh soal dan pembahasan integral berikut ini. 10 contoh soal integral tak tentu BPJS cabut berkas contoh surat pencabutan berkas di bpn contoh berkas cahaya konvergen.
Source: hu.pinterest.com
Sebuah bola bergerak dengan kecepatan V mdet. Kegunaan integral dalam kehidupan sehari-hari banyak sekali diantaranya menentukan luas suatu bidang menentukan volume benda putar menentukan panjang busur dan. Beberapa contoh penerapan tersebut diantaranya adalah. Viy8 games toms trap o matic.
Source: skuylahhu.com
Contoh Soal Integral Tak Tentu Bentuk Pecahan. Pada saat t detik kecepatan bola dinyatakan dengan V 25-t. Contoh soal penerapan integral tak tentu dalam ekonomi beserta jawabannya. Contoh kisi kisi soal bahasa indonesia.
Source: winmahdi.com
Kegunaan integral dalam kehidupan sehari-hari banyak sekali diantaranya menentukan luas suatu bidang menentukan volume benda putar menentukan panjang busur dan. Contoh integral dalam kehidupan sehari-harikita tahu kecepatan sebuah motor pada waktu tertentu tapi kita ingin tau posisi benda itu pada setiap waktu. Contoh contoh soal ulangan semester 1 untuk anak tk. Contoh Soal Integral Tak Tentu Bentuk Pecahan.
Sebagai contoh gedung Petronas di Kuala Lumpur dan gedung-gedung pencakar langit di seluruh dunia dirancang dengan memperhatikan ketinggian lantai dan kekuatan anginnya.
Integral tidak hanya dipergunakan di matematika saja. Contoh Soal Penerapan Integral Tentu dalam Kehidupan Sehari-Hari - Pernahkah kamu memperhatikan sebuah roller coaster di taman hiburan. Laju perubahan sesaat dari pendapatan tersebut untuk x 100 adalah. Kegunaan integral dalam kehidupan sehari-hari banyak sekali diantaranya menentukan luas suatu bidang menentukan volume benda putar menentukan panjang busur dan sebagainya. Contoh Soal Penerapan Integral Tak Tentu dalam Kehidupan Sehari-Hari - Banyak permasalahan kehidupan sehari-hari yang penyelesaiannya terkait dengan konsep dan aturan-aturan matematika.
Source: studindo.vercel.app
Contoh contoh soal ulangan semester 1 untuk anak tk. Contoh integral dalam kehidupan sehari harikita tahu kecepatan sebuah motor pada waktu tertentu tapi kita ingin tau posisi benda itu pada setiap waktu. Tom And Jerry Trap O Matic 3 Youtube. Untuk menemukan hubungan ini kita memerlukan proses integral antidiferensial dan Lihat gedung Petronas di Kuala Lumpur atau gedung-gedung bertingkat di Jakarta. Contoh analisis soal ulangan harian kurikulum 2013.
Pada t 6 detik posisi bola berada pada jarak 120 meter dari titik asal.
10 contoh soal integral tak tentu BPJS cabut berkas contoh surat pencabutan berkas di bpn contoh berkas cahaya konvergen. Tujuan dan Manfaat Integral. Contoh soal penerapan integral tak tentu dalam ekonomi beserta jawabannya. Kegunaan integral dalam kehidupan sehari-hari banyak sekali diantaranya menentukan luas suatu bidang menentukan volume benda putar menentukan panjang busur dan.
Source: ruangguru-902.blogspot.com
Viy8 games toms trap o matic. Aplikasi Integral dalam Kehidupan Aplikasi Integral Integral dapat diaplikasikan ke dalam banyak hal. Untuk lebih memahami integral perhatikan contoh soal dan pembahasan integral berikut ini. Contoh soal penerapan integral tak tentu dalam ekonomi beserta jawabannya. Integral tak tentu dapat diterapkan dalam memecahkan beberapa permasalahan baik dibidang matematika fisika kimia ataupun pada permasalahan sehari-hari lainnya.
Source: bukukerjasiswapintar.blogspot.com
Integral dapat diaplikasikan ke dalam banyak hal. 12 Contoh Soal Penerapan Integral Dalam Kehidupan Sehari Hari Kumpulan Contoh Soal Ada 3 rumus dasar integral silakan cek di bawah ya Quipperian. Tujuan dan Manfaat Integral. Contoh integral dalam kehidupan sehari-harikita tahu kecepatan sebuah motor pada waktu tertentu tapi kita ingin tau posisi benda itu pada setiap waktu. Contoh analisis soal ulangan harian kurikulum 2013.
Source: encrypted-tbn0.gstatic.com
Pada saat t detik kecepatan bola dinyatakan dengan V 25-t. Rumus-rumus integral tak tentu serta contoh soal dan penerapan integral tertentu dalam kegidupan sehari-hari bidang fisika dan materi berkaitan Integral tak tentu adalah suatu proses untuk menentukan bentuk umum dari anti turunan fungsi dan integral. Contoh kisi kisi soal bahasa indon. Untuk menemukan hubungan ini kita memerlukan proses integral antidiferensial dan Lihat gedung Petronas di Kuala Lumpur atau gedung-gedung bertingkat di Jakarta. Dari yang sederhana hingga aplikasi perhitungan yang sangat kompleks.
Situs ini adalah komunitas terbuka bagi pengguna untuk menuangkan apa yang mereka cari di internet, semua konten atau gambar di situs web ini hanya untuk penggunaan pribadi, sangat dilarang untuk menggunakan artikel ini untuk tujuan komersial, jika Anda adalah penulisnya dan menemukan gambar ini dibagikan tanpa izin Anda, silakan ajukan laporan DMCA kepada Kami.
Jika Anda menemukan situs ini lengkap, tolong dukung kami dengan membagikan postingan ini ke akun media sosial seperti Facebook, Instagram dan sebagainya atau bisa juga bookmark halaman blog ini dengan judul contoh soal integral tak tentu dalam kehidupan sehari hari dengan menggunakan Ctrl + D untuk perangkat laptop dengan sistem operasi Windows atau Command + D untuk laptop dengan sistem operasi Apple. Jika Anda menggunakan smartphone, Anda juga dapat menggunakan menu laci dari browser yang Anda gunakan. Baik itu sistem operasi Windows, Mac, iOS, atau Android, Anda tetap dapat menandai situs web ini.



